OzESI‑MRM

LC-OzESI-MRM platform and AJS source gas-routing modifications
Figure 1. LC-OzESI-MRM platform and instrument modifications for double bond localization. (a) Schematic overview of TG separation, in-source ozonolysis, and automated analysis via CLAW-OzESI-MRM. (b) Diagram of ozone and nitrogen gas routing to the Agilent Jet Stream (AJS) ESI source on a 6495C QqQ mass spectrometer. A T-junction with ball valves enables manual switching between in-house N₂ and O₃/O₂ gas from an ozone generator, with safety monitoring by an ambient ozone sensor. (c) Photograph of the modified source with labeled components (T-junction, gas lines, and nebulizer).
Workflow for C=C localization in MUFA TGs using CLAW-OzESI-MRM
Figure 3. Workflow for C=C double bond localization in MUFA-containing TGs using the CLAW-OzESI-MRM pipeline. (a) The user defines targeted double bond positions (e.g., n-7, n-9) for a given TG species (e.g., TG 54:4_FA 18:1). (b) The software automatically predicts OzESI-MRM transitions for each specified double bond position by calculating expected precursor-product ion pairs based on neutral losses. (c) LC-OzESI-MRM data acquired with (OzON) and without (OzOFF) ozone are parsed into structured pandas DataFrames. (d) Retention time (RT) windows are defined and used for peak picking and matching. (e) RT alignment between OzOFF and OzON runs validates true C=C-specific MRM transitions and distinguishes them from overlapping signals or artifacts. (f) Quantitative outputs are visualized for downstream analysis.
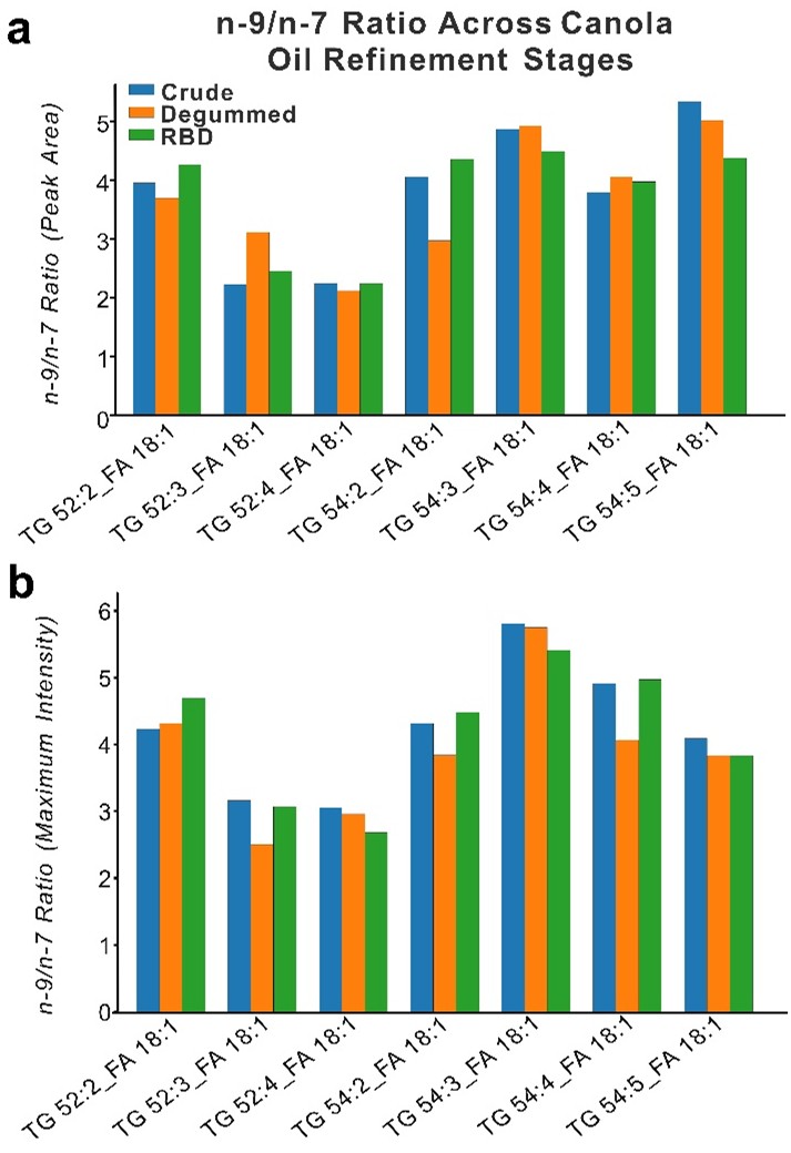
n-9/n-7 isomer peak area ratios across canola oil processing stages
Figure 5. n-9/n-7 isomer peak area ratios for FA 18:1-containing triacylglycerols (TGs) in crude (blue), degummed (orange), and refined-bleached-deodorized (RBD, green) canola oil. (a) Ratios based on LC-MS peak area; (b) ratios based on maximum MRM intensity. The n-9 isomer predominated across all TGs and stages, indicating that industrial processing preserves C=C positional distributions.

AI-powered LC-OzESI-MRM enables rapid, accessible, and isomer-specific fatty acid profiling to drive biomarker discovery and precision lipidomics.

Code

← Back to Home